Loading...
Welcome to our guide on ChatGPT models! Whether you're using GPT o3-mini, GPT 4, or other iterations, each model brings unique features designed to enhance your productivity and streamline your workflow. In this article, we’ll explore the differences between the various ChatGPT models, their strengths, and how they work within the ChatGPT Toolbox extension to help you organize and manage your conversations effectively. Whether you're a casual user or part of a larger team, understanding these models can take your ChatGPT experience to the next level.

Compare ChatGPT O1 vs GPT-4 in 2026. Discover which model excels at reasoning, speed, accuracy, coding, and real-world tasks. Complete feature comparison with pricing, availability, and use case recommendations.

Compare all ChatGPT models (GPT-4o, GPT-4.1, GPT-5, o3, o3-pro, o4-mini) with features, speeds, pricing, and use cases. Find the perfect model for your needs with our comprehensive 2026 guide.

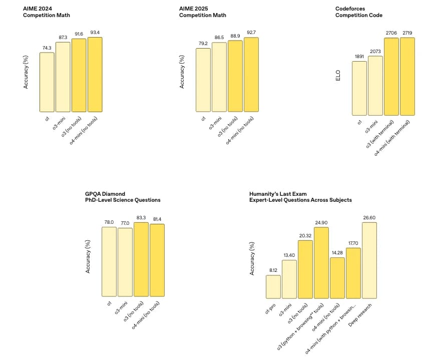
Discover how OpenAI's newest models o3 and o4-mini transform AI capabilities with enhanced reasoning, visual understanding, and tool use. Learn about their features, use cases, and how they compare to previous GPT models.

Comprehensive guide to ChatGPT pricing. Explore different plans, understand costs, and learn how to choose the right option for your needs. Discover the best ChatGPT pricing.

ChatGPT 4.5 is OpenAI's latest model, bringing improved user intent recognition, reduced hallucinations, image input support, and real-time web integration.

Discover the capabilities of the ChatGPT 3.5 model. Learn about its key features, diverse applications, and how it compares to other ChatGPT models. Get a comprehensive overview.

Explore ChatGPT o1, the model focused on advanced reasoning. Learn about its variations, compare it with GPT-4o, and discover its applications in research and coding.

Explore the latest ChatGPT New Model and its groundbreaking model spec. Learn about architecture improvements, enhanced context handling, and future AI developments.

Discover OpenAI's ChatGPT o3-mini, the latest AI model with better reasoning, STEM optimization, faster responses, and cost efficiency. Learn how to use it!